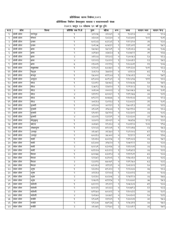
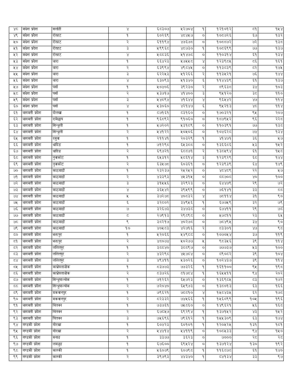
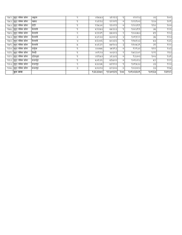
काठमाडौं । आगामी फागुन २१ गते देशभर प्रतिनिधि सभा सदस्य निर्वाचन हुँदैछ । निर्वाचन आयोगले ७७ वटै जिल्लाका १६५ निर्वाचन क्षेत्रअन्तर्गतको मतदाता संख्या सार्वजनिक गरेको छ ।
सो विवरण अनुसार रामेछाप जिल्लामा सबैभन्दा बढी मतदाता रहेका छन्, जहाँ एक लाख ८७ हजार ९५२ मतदाता दर्ता छन् । त्यस्तै, मनाङ जिल्लामा सबैभन्दा कम करिब ७ हजार मतदाता मात्र रहेका छन् ।
निर्वाचन आयोगका अनुसार फागुन २० गतेसम्म १८ वर्ष उमेर पूरा गरेका नागरिकले यस निर्वाचनमा मतदान गर्न पाउनेछन् । आयोगले सार्वजनिक गरेको विवरणअनुसार फागुन २१ को निर्वाचनमा कुल १ करोड ७९ लाख ३ हजार ९९ मतदाताले मताधिकार प्रयोग गर्नेछन् ।






प्रतिक्रिया